剧情介绍
导读
浙江大学数学学院蔡天新教授新近出版了《数学与艺术》(江苏人民出版社,2021.7),此书入选了《光明日报》“光明书榜”,《解放日报》记者予以采访报道,《中华读书报》整版摘登,《中国科学报》也将推介……《赛先生》特邀作者从“希腊数学与希腊艺术”一章中摘录一节,以飨读者。本文略有修订。
撰文 | 蔡天新
亚里士多德的《诗学》和欧几里得的《(几何)原本》分别是古典时代文艺理论和自然科学的最高理论结晶,各自影响了后世2000多年。亚里士多德和欧几里得都是柏拉图学园的学生,虽然他们两人并不认识,甚至可能不属于同一个时代。而从本质上讲,他们的著作都是对三维空间的模仿,只不过前者是对形象空间的模仿,后者是对抽象世界的模仿。
王若男绘
01 柏拉图学园
公元前500年,毕达哥拉斯在塔兰托附近的梅塔蓬图姆(metapontum)遇害。第二年,世界历史上第一次欧亚大陆之间的大规模战争——波希战争爆发了。这场战争的起因是,强大的波斯阿契美尼德王朝为扩张版图入侵希腊。不料战争持续了将近半个世纪。
结果恰好相反,在经历了马拉松战役、温泉关战役和萨拉米湾海战之后,希腊城邦国家和制度得以幸存下来,而波斯帝国却从此一蹶不振。这场战争是人类历史上前所未有的文化大融合,其影响力远远超出波斯和希腊两国,促进了东西方文明的交流和发展,推动了科学、艺术和人类社会的发展进步。希腊文明得以保存并发扬光大,成为日后西方文明的基础。
波希战争结束那年,苏格拉底(socrates,前470-前399)刚年满20岁,雅典正处于伯利克里(pericles,前495-前429)的黄金时代。苏格拉底出身贫寒,父亲是雕刻师,母亲是助产士,他自己也做过雕刻师和石匠,据说曾参与雅典卫城的建造。苏格拉底有着扁平的鼻子、厚厚的嘴唇,眼睛凸出,身材矮小。虽说容貌平凡,但他言语朴实,头脑里有着神圣的思想。那会儿智者从全国各地云集雅典,给民主制度带来许多新知和自由论辩的新风尚,苏格拉底向诸位智者学习,也受到奥尔菲秘教和毕达哥拉斯学派的影响。
苏格拉底青少年时代很好学,后来熟读荷马史诗,靠自学成为一名很有学问的人。他一生过着艰苦的生活,无论严寒酷暑,都穿一件普通的单衣,经常不穿鞋,吃喝更不讲究。苏格拉底对学问专心致志,并以传授知识为生,不设馆也不取报酬,生平事例,思想成就,任由弟子记录,其中最出色的两位弟子是柏拉图和色诺芬。苏格拉底的学说带有神秘主义,他反对研究自然界,认为那是亵渎神灵的。他喜欢提出异议,爱讽刺人,其主要武器是反驳论证,也叫反诘,借此指出别人观点中潜在的混乱和荒谬,被后人称为苏格拉底方法。
公元前429年,伯利克里在再度当选为首席将军之后,被瘟疫夺去了生命,雅典盛极而衰。此时的苏格拉底已成为远近闻名的人物,许多有钱人家和穷人家的孩子聚集在他周围,向他讨教。苏格拉底却常常说,“我只知道自己一无所知。”“只有神才是智慧的。”他以自己的无知而自豪,并认为人人都应承认自己的无知。然而,公元前399年,苏格拉底却被控犯有“渎神”罪,被处以传统的极刑——饮鸩。他的罪名是:腐蚀青年,藐视城邦崇拜的诸神以及从事稀奇古怪的宗教活动。
由于苏格拉底以不屑一顾的态度对待这种指控,同时又作了相当于承认确有其事的“辩护”,因此(或许是)以280票对220票被法庭判有罪。当时如果苏格拉底同意支付一笔数目不必太大的罚金,是可以不被判处死刑的。然后他却采取强硬立场,说自己其实是社会的大恩人,应该作为杰出人士享受国家供养的待遇。结果这个说法激怒了法庭,死刑判决被更多票数通过了。接下来的一个多月,每天有朋友来狱中看他,有的设法帮他越狱,但被他拒绝。最后他选择饮下毒堇汁,缓慢而痛苦地死去。
苏格拉底之死,尤其是临死前表现出来的大无畏气概,给予弟子柏拉图深深的刺激。虽然他出身显赫,却放弃了从政的想法,终其一生投入哲学研究,他称导师苏格拉底是“所见到的最智慧、最公正、最杰出的人物”。苏格拉底死后,而立之年的柏拉图离开了雅典,开始了漫长的游历,先后造访了小亚细亚、埃及、昔兰尼(今利比亚)、南意大利和西西里等地。大约在那个时候,柏拉图开始写作对话录,多数以苏格拉底为中心人物,其他人物也大多是真实存在的。但他的写作究竟是在苏格拉底去世之前还是之后开始的,已无法确定。
" 柏拉图头像,现藏于罗马卡比托利尼博物馆
正是在旅途中,柏拉图接触了多位数学家,包括西西里岛上毕达哥拉斯学派的一位传人,并亲自钻研了数学。返回雅典之后,柏拉图与人合作,在城东北创办了一所颇似现代私立大学的学园(academy,这个词是为纪念一位战斗英雄,如今的意思是科学院或高等学府)。学园里有教室、饭厅、礼堂、花园和宿舍,柏拉图自任园(校)长,他和他的助手们讲授各门课程。除了两次应邀重返西西里讲学以外,他在学园里度过了生命的后40年,而学园本身则奇迹般地存在了九百年,犹如传说中的毕达哥拉斯学派。
作为哲学家,柏拉图对欧洲的哲学乃至整个文化、社会的发展有着深远的影响。他一生共撰写了36本著作,大部分用对话的形式写成。内容主要关于政治和道德问题,也有的涉及形而上学和神学。例如,在《国家篇》里他提出,所有的人,不论男女,都应该有机会展示才能,进入管理机构。在《会饮篇》里这位终生未娶的智者也谈到了爱欲,“爱欲是从灵魂出发,达到渴求的善,对象是永恒的美。”用最通俗的话讲就是,爱一个美人,实际上是通过美人的身体和后嗣,求得生命的不朽。
虽然柏拉图本人并没有在数学研究方面作出特别突出的贡献(有人将分析法①和归谬法②归功于他),但他的学园却是那个时代希腊数学活动的中心,大多数重要的数学成就均由他的弟子取得。例如,一般整数的平方根或高次方根的无理性研究(包括由无理数的发现导致的第一次数学危机的产生和解决),正八面体和正二十面体的构造,圆锥曲线和穷竭法的发明(前者的发明是为了解决倍立方体问题③),等等。
对数学哲学的探究,也起始于柏拉图。在他看来,数学研究的对象应该是理念世界中永恒不变的关系,而不是感觉的物质世界的变化无常。他不仅把数学概念和现实中相应的实体区分开来,也把它和在讨论中用以代表它们的几何图形严格区分。举例来说,三角形的理念是惟一的,但存在许多三角形,也存在相应于这些三角形的各种不完善的摹本,即具有各种三角形形状的现实物体。这样一来,就把起始于毕达哥拉斯的对数学概念的抽象化定义又向前推进了一步。
在柏拉图的所有著作中,最有影响的无疑要数《理想国》了。这部书由10篇对话组成,核心部分勾勒出形而上学和科学的哲学。其中第6篇谈及数学假设和证明。他写到,“研究几何、算术这类学问的人,首先要假定奇数、偶数、三种类型的角以及诸如此类的东西是已知的。……从已知的假设出发,以前后一致的方式向下推,直至得到所要的结论。”由此可见,演绎推理在学园里已经盛行。柏拉图还严格把数学作图工具限制为直尺和圆规,这对于后来欧几里得几何公理体系的形成有着重要的促进作用。
被称为柏拉图多面体的5种正多面体
谈到几何学,我们都知道那是柏拉图极力推崇的学问,是他构想的要花费10年学习的精密科学的重要组成部分。柏拉图认为创造世界的上帝是一个“伟大的几何学家”,他本人对(仅有的)五种正多面体的特征和作图有过系统的阐述,以至于它们被后人称为“柏拉图体”(插图)。从公元6世纪以来广为流传的一则故事说,在柏拉图学园门口刻着,“不懂几何学的人请勿入内”。无论如何,柏拉图充分意识到了数学对探求人类理想的重要性,在他的遗著《法律篇》中,他甚至把那些无视这种重要性的人形容为“猪一般”。
遗憾的是,柏拉图一方面称赞“上帝是位几何学家”,另一方面又要把诗人逐出“理想国”。他曾历数艺术家的两大罪状,“艺术不真实,不能给人真理;艺术伤风败俗,惑乱人心。”但柏拉图并非反对诗歌,他在《国家篇》里写道:“消遣的、悦耳的诗歌能够证明它在一个管理良好的城邦里有存在的理由,那么我们非常乐意接纳它,因为我们自己也能感受到它的迷人。但是要背弃我们相信是真理的东西而去执迷于诗歌,这总是不虔诚的,因为诗歌和诗人干扰了我们宁静的灵魂和对世界的理性判断。”换句话说,柏拉图是从理性出发,站在政府的立场上。
柏拉图学园培养了无数杰出的学生,包括全才的亚里士多德。而在数学领域,就有立体几何的创始人泰阿泰德(他也是柏拉图学园的联合创始人),比例理论的建立者欧多克索斯(他提出数和量是两个不同的概念,前者仅限于有理数,他还最早建立了宇宙的几何模型),圆锥曲线的发现者美涅克漠(menaechmus,欧多克索斯的学生)。甚至连大数学家欧几里得早年也来阿卡德米攻读,这一切使得柏拉图及其学园赢得“数学家的缔造者”美名。这里我想先介绍一下欧多克索斯。
古代雅典地图,柏拉图学园在北郊
欧多克索斯(eudoxus,约前400-约前347)出生在小亚细亚的尼多斯(cnidus),年轻时做过一位医生的助理。公元前368年,欧多克索斯陪同医生来到雅典,在那里学习了两个月,他住在外港比雷埃夫斯,期间他几乎每天都步行数十公里去雅典的柏拉图学园听课,学习数学、天文学和哲学,同时与柏拉图建立了私人友谊。多年以后,欧多克索斯在马尔马拉海南岸建立了自己的学园,最后率领部分学生搬迁到了雅典,很可能是加入了柏拉图学园。
02 亚里士多德与《诗学》
众所周知,柏拉图学园里最杰出的学生,并非上节最后提到了四位数学家,而是全才的亚里士多德(aristotle,前384-前322)。亚里士多德出生在希腊北部哈尔基季基半岛小城斯塔基拉(stagira)。他的父亲是马其顿国王阿敏塔斯三世的御医,阿敏塔斯三世是腓力二世的父亲,亚历山大大帝的祖父。作为医生的儿子,亚里士多德幼时便接触到“医学之父”希波克拉底(hippocrates,前460-前377)的著作《时疫》,使他懂得医学和生物学的概念和实践,以至于后来他的哲学思想里带有明显的生物学倾向。
" 亚里士多德头像
亚里士多德年少时,父亲便去世了,他被委托给一位亲戚监护。17岁那年,亚里士多德被送进雅典的柏拉图学园,在那里一待就是20年。他在柏拉图和其他导师的教导下学习活力充足,思想活跃,对修辞和辩论颇有心得。公元前367年,柏拉图在参加一次婚宴时忽感不适,随后退到一个角落里,安静地去世。学园由柏拉图的侄子继承,亚里士多德离开了雅典,像他的老师一样开始了漫游。至于他离开的原因,或许是因为未能掌管学园,与新任园长哲学观念不同,也可能是因为他的马其顿背景。
亚里士多德与他的同窗兼好友色诺克拉底结伴,他们先到小亚细亚西北岸的港市阿苏斯(assus),在那里开始研究解剖学,并着手《政治学》的撰写。师兄弟俩的性格有别,亚里士多德生性活跃,色诺克拉底沉默寡言,为此当年曾被老师柏拉图比喻为“一个需要马刺,另一个需要笼头……”不过,当他们在阿苏斯的新学校共事时,两人的不同个性却成就了天作之合。赞助人是一位富有的军人,他当年参观柏拉图学园时便有志于在小亚细亚也创建一所,把希腊制度和希腊哲学扩展到亚洲大地。
在阿苏斯,亚里士多德娶了赞助人的侄女皮西亚斯,他们生了一个女儿。《政治学》是西方政治学研究的开山之作,依据他和学生对希腊诸城邦政治法律制度的调查写成,其核心内容是城邦问题,以“人是天生的政治动物”为前提,分析了城邦的形成和基础,以及公民的教育等,提出了理想城邦的设想。书中也描绘了他心目中的理想婚姻,丈夫37岁,妻子18岁。作者时年37岁,故而人们猜测皮西亚斯当时是18岁。亚里士多德曾表示希望两人死后合葬一处,可惜妻子去世太早,后来他又找了一个伴侣(无法确定妻子还是情人),她为他生了一个儿子。
亚里士多德在阿苏斯待了三年以后,来到一水之隔的莱斯沃斯岛,那是希腊第一个女诗人萨福的故乡,后者如今已成为女同性恋的代名词。亚里士多德在首府米蒂利尼与一位朋友合办了一所学校,在那里他的兴趣转向生物学,并进行了开拓性的研究。他强调观察对于生物学的重要性,“理论必须被观察到的事物所确认,才能享受到真正的荣誉”。柏拉图认为,灵魂是一种独立存在的实体,暂时寓居于肉体之中;而亚里士多德则认为,灵魂是一种生命力,本质上与肉体一道构成个人。
公元前343年和前342年之交,42岁的亚里士多德应腓力二世之邀,到马其顿首都培拉,担任13岁的亚历山大的家庭教师。他试图依照荷马史诗中的英雄形象来培养王子,而后者后来也的确成为人类历史上最伟大的君王和军事家之一,但据说两人的关系并不融洽。亚里士多德认为希腊人高于一切,教导弟子应禁止臣民与外邦人通婚,但他却娶一位波斯贵族女子为妻,甚至以叛国罪处死了亚里士多德的侄子。不过亚历山大后来也送给老师一个礼物,重建了他那被父王摧毁的故乡斯塔基拉。
公元前335年,年近半百的亚里士多德从斯塔基拉回到雅典,其时柏拉图学园在色诺克拉提的掌管下正处盛期,他在郊外的森林里创办了自己的学校——吕园,以神话中的杀狼者吕刻俄斯(lyceum)命名。亚里士多德不拘礼节,常与弟子们一边散步,一边教学,因此被称为逍遥派,吕园也成为一所集教学与研究为一体的学校。12年以后,亚历山大大帝死于征战途中,雅典出现了短暂而激烈的反马其顿浪潮,亚里士多德深感自己处于危险之中,便离开了雅典,去到母亲的故乡、雅典北面的埃维亚岛首府哈尔基斯。第二年,亚里士多德因为胃病,在岛上去世。
与阿卡德米一样,吕园也是通过争论和讨论来教育学生,并不要求他们盲目接受老师的观点。亚里士多德的文风简洁明快,富有个性,他的思想可以概括为:经验是知识的来源,逻辑是其结构。公元前1世纪的罗马作家西塞罗在《学园派》里写道,“亚里士多德温和的风格宛如一条金色的河流”。他的著作甚丰,古代后期尚有数百卷留存,而古代书目所列他的独立著作多达170种。即便在今天,仍幸存30多部,约2000多张印刷页。亚里士多德在《论哲学》里提到文明发展的五个阶段,分别是:生产生活必需品,创造艺术,政治的艺术,美化生活,从自然到神的哲学。
一般来说,亚里士多德的著作分为两类。一类是生前发表,有些后来佚失的;另一类是未经本人发表,或者根本不打算发表的,而经过他人搜集并保存下来的。《诗学》可能属于后者,成书于他游学结束返回雅典之后,可谓是他成熟期的著作。现存的文本是他在吕园的讲义或其门生的笔记,论证严密但较为晦涩,可能未经整理加工,容易引发不同的解释。《诗学》共分两卷,可惜第二卷失传了。第一卷中曾说到后面还要讨论喜剧,可能就在第二卷。无论如何,《诗学》则是亚里士多德美学思想的结晶,是西方美学的开山之作。
" 10世纪《诗学》的阿拉伯文译稿
据说《诗学》与亚里士多德的其他著作曾在地窖里沉睡了一百多年,后来经过逍遥派哲学家安德罗尼卡(andronicus of rhodios,活动时期公元前1世纪)的整理、校订之后,才得以流传。6世纪时《诗学》被译成叙利亚语,10世纪时被译成阿拉伯语,现存最早的版本是11世纪拜占庭人的手抄本。文艺复兴之初,《诗学》从阿拉伯语转译成拉丁语。从15世纪后期以来,《诗学》对欧洲文学和美学思想的影响越来越盛,古典主义文学和美学将其奉为圭皋。即便是现当代艺术和美学理论的构建,也离不开对《诗学》的研究,人们从不同角度和方式从中汲取思想养料。
现存《诗学》共二十六章,内容大体可分三部分:一至五章,论述艺术的本性是摹仿,依次区分不同的艺术形式,追溯艺术的起源和历史发展;六至二十四章及二十六章,论述悲剧的特征及构成要素,同时比较了史诗和悲剧;二十五章,批评与反驳的原则、方法。全书主要论述了三个艺术哲学问题,即艺术的本性、悲剧的意义和艺术的作用,其美学思想也可依此归结为三点:摹仿说、悲剧论和净化说。这其中,作者认为最本质的是摹仿说。
亚里士多德开宗明义指出,艺术的本性就是摹仿。他认为:史诗、悲剧、喜剧、酒神颂以及其它各种艺术,“均为摹仿……摹仿人的性格、情感和活动”。但亚里士多德所说的“摹仿”,并不等同于我们通常理解的临摹、仿效,它还有技艺摹仿自然的宽泛含义。《诗学》中的“诗”是指创制技艺(艺术创作),它表现的是人和人的生活。事实上,希腊艺术原本就是以和谐、庄重、恬静等为特征,艺术地再现生活。
在亚里士多德之前,希腊的哲人们已有论及“摹仿”,但赋予不同的意义。毕达哥拉斯认为美是对数的摹仿;赫拉克利特主张艺术摹仿自然的和谐;苏格拉底说绘画、雕像之类的艺术不仅摹仿美的形象,且可以借形象摹仿人的情感、个性。柏拉图在《国家篇》中,详细论述了诗是摹仿。他认为,木匠摹仿床的“形式”制作木床,画家画的床又只是摹仿木床的影象,不是真实的存在。艺术远离理念与理性,不仅无补于城邦治理和公民道德,且会悖逆真与善,造成理性和情欲的冲突。也正因为如此,柏拉图主张把诗人逐出理想国。
亚里士多德的哲学思想不同于他的老师,他对艺术的“摹仿”本性也有迥然相异的理解。在他看来,现实事物包括人的活动,就是真实存在,具有多样意义;诗摹仿人的活动,在作品中创制出艺术真实的存在;“摹仿”不只是表现外在形象,更是表现人的本性和活动,显示人的这种“存在”意义。而且,“摹仿”是求知活动,以形象方式获取真理,形成关于人的创制知识;艺术的“摹仿”并非只受感觉和欲望驱使,它凭借“实践智慧”洞察人生,把握生活的真谛。因此,摹仿的艺术是高尚的知识活动。
亚里士多德的摹仿说可以概括为以下三个方面。其一,一切艺术产生于摹仿。其二,摹仿是人的本性,艺术在实现人的本性中进化和完善。他认为,人天生有摹仿的禀赋;人有对美的事物天生的美感能力。在他看来,从孩提时候起我们就有摹仿的本能;人是最富有摹仿能力的动物,人类通过摹仿获取最初的经验和知识;摹仿实质上是一种求知能力,正是由于这一点,把人与其他动物区别开来。
其三,摹仿应表现必然性、或然性和类型。亚里士多德认为,诗人的职责不是记录已发生的事,而是描述出于必然性、或然性而可能发生的事,某种特殊的人和事。历史和诗的区别不只在于是否用韵文写作,希罗多德的《历史》若改写为韵文,依然是历史著作。他分析诗与历史的区别:历史叙述已经发生的事实,诗则描述出于必然、或然,在过去、现在、将来都有可能发生的事;历史只记录个别事件和人,诗则在可能的事件和人中显示“普遍的本性”,因而比历史“更富哲理,更为严肃”。
人民文学出版社出版的《诗学》和《诗艺》。
《诗学》是欧洲美学史上第一篇也是最重要的文献,亚里士多德率先用科学的观点和方法阐明美学概念、研究文艺问题。遗憾的是,在现存的26章《诗学》中,亚里士多德主要讨论的是史诗和悲剧,并没有涉及造型艺术,甚至也没有谈到抒情诗。大概因为抒情诗没有布局,古希腊人认为它属于音乐。可是,古希腊人在雕刻和建筑方面,留下了为数不多但却精美绝伦的作品,尽管有些只是残存或摹制品。
米隆(myron,活动时期约公元前480-前440)是古希腊雕塑家,他的青铜作品《掷铁饼者》(约公元前450)原件已遗失,现在我们看到的罗马时期的大理石摹制品。与米隆同时代的菲狄亚斯(phidias,活动时期约前490-前430)是大雕塑家,只可惜雅典巴特农神庙里他的杰作《命运三女神》残肢断躯,连脑袋都没有了。巴黎罗浮宫里的《维纳斯》只缺了双臂,是约公元前150年的大理石作品,但那时已是希腊艺术衰落期,故而有艺术史家认为它是公元前4世纪的作品的仿制。《维纳斯》是1820年在爱琴海的米洛斯岛由一位农夫发现的,人体动态与舒卷自然的衣褶相宜,有着绝代的风韵,几经周折才被法国人收购占有。
最接近完整的雕刻是《拉奥孔》,那是公元前1世纪罗德岛雕塑家阿格桑德罗斯(agesandros)父子的作品,取材于荷马史诗中特洛伊战争的故事。拉奥孔是特洛伊祭司,他看出了木马计,告诫同胞别把木马拖进城(里面藏着雅典士兵)。雅典保护神雅典娜为惩罚拉奥孔“泄露天机”,放出两条巨蟒缠死了他和一对孪生儿子。雕塑表现的就是这一触目惊心的场面,反映了神对大众的威慑力,包含“说真话的人没有好下场”这样一种对社会的愤懑情绪。1506年,该群雕在罗马提图斯浴场遗址被发现,被教皇尤里乌斯二世收购,现藏梵蒂冈博物馆。由于发现得早,对文艺复兴时期的艺术有巨大的影响。米开朗琪罗称赞:真是不可思议。德国美学家莱辛(gothold lessing,1729-1781)据此写下同名著作,为欧洲最重要的美学文献之一。
建筑方面,大约在公元前6世纪,古希腊的柱子经历了石化(petrification)的过程,由木材、泥砖或黏土改为石柱。因此有部分建筑保存下来,最负盛名的无疑是雅典卫城的巴特农神庙。按照公元前1世纪罗马建筑师维特鲁威《建筑十书》的记载,它是由公元前5世纪的建筑师伊克蒂诺(ictinos)和卡利克拉特(callicarats)设计的。与那个时代其他建筑一样,巴特农神庙采用了黄金分割比,即侧面宽和高之比为0.618:1。同时柱式博采各城邦的特长,例如东部小亚细亚沿海的爱奥尼亚式,富有柔和、活泼的女性之美;南方半岛的多利克式,富有强音、坚实的男性之美;柯林斯式则更纤细、富有装饰性。保存得最完整的当数稍早的雅典忒休斯神庙,只因为它在中世纪时被改做基督教堂。
最后,我们想谈谈亚里士多德和柏拉图对私有财产的不同看法。历史上,财产的概念经常变化,早期一般只涉及土地和奴隶,后来扩大到专利和版权等无形资产,以及任何被认为是生活和自由所必需的东西。柏拉图受斯巴达人的启发,反对各种各样的私有财产,他认为私有财产腐蚀人的灵魂,助长贪婪、嫉妒和暴力。亚里士多德的观点恰好相反,他认为共同财产的拥有者之间更容易争斗,而私有制对人类进步至关重要,因为人们会受到激励努力工作,从而成为有道德的人。波兰出生的美国历史学家派普斯(richard pipes,1923-)直言:“人类必须拥有,才能生存。”
说到私有财产,它与当今炙手可热的比特币有关。在互联网时代,人们渴望把个人财产数字化,这需要解决两个问题。一是稀缺性,数字产品谨防被复制和重新分配。二是可转让性,只有这样才能交易资产,否则所有权会丧失权力。这两点也是金钱的属性,一旦解决,数字产品会成为新的钱币形式。比特币刚好满足这两点,首先它通过软件加固共识规则并加以保护,形成数字稀缺;其次可转让性可由公钥密码学来保障,也就是不可伪造的数字签名。最著名的公钥密码是rsa(麻省理工学院的三位教授姓氏)体系,它是利用数论中的欧拉定理和南宋数学家秦九韶(1202-1261)的大衍求一术构造的,后者是说:若整数a和m互素,则同余式ax≡1(mod m)存在唯一解。
03 欧几里得与《原本》
如果说,亚里士多德的《诗学》认定艺术的本性是摹仿,是对人类生活的三维空间的形象仿制。那么,我们完全可以这么说,比他稍晚的欧几里得的《原本》是对同一个三维空间的抽象仿制。有关数学家欧几里得,无人知道他确切的生卒年,他出生、长大和去世、安葬的地方④,他以一部《原本》扬名后世。在19世纪以前,欧几里得是几何学的代名词,有一个流行的说法,《原本》的总印数仅次于《圣经》,欧几里得也被视为所有纯粹数学家中对世界历史的进程最有影响力的一位。
" 19世纪的欧几里得塑像。现藏于牛津大学博物馆
现在我们知道,大约在公元前300年前后,欧几里得作为数学家,活跃于地中海边古希腊的文化和科教中心亚历山大,其时为托勒密王朝的都城,如今的埃及第二大城市。这表明,欧几里得生活的年代,比亚里士多德晚,但比另一位大数学家阿基米德早。主要依据是两部著作,一部是柏拉图学园晚期的导师普罗克洛斯的《几何学发展概要》(约450年,简称《概要》),这是他为《原本》写的注释。另一本是4世纪数学家帕波斯的《数学汇编》(简称《汇编》)。
《概要》中指出,欧几里得是托勒密一世(ptolemy i,约公元前367-前282,前323-前285在位)时代的人,早年求学于雅典,深谙柏拉图的学说。他的《原本》引用了欧多克索斯等多位柏拉图学派人物的成果,他本人也是柏拉图学派的成员。书中还有提及,阿基米德的著作也引用过《原本》里的命题。《原本》建立了公设和公理,这一点明显受到亚里士多德逻辑思想的影响。《汇编》中则记载,圆锥曲线的集大成者阿波罗尼奥斯(apollonius of perga,约公元前262~190年)曾长期居住在亚历山大,与欧几里得的学生们相熟。
《概要》记述了一则轶事:国王托勒密问欧几里得,除了《原本》以外,还有无其他学习几何的捷径,欧几里得回答:“几何学中没有王者之路。”这句话后来被推广为“求知无坦途”。5世纪的编者斯托比亚斯也记载了欧几里得的一则轶事:当有一个新来的学生问,学习几何学将来能得到什么时,欧几里得没有正面回答,而是让奴仆给了他一个便士,然后说,“因为他总想着从学习中捞到好处”。由此可见,欧几里得要求学生循序渐进,反对投机取巧和功力的实用主义。
欧几里得的《原本》是一部划时代的著作,从它诞生的年代流传至今,对人类文明的进步有着持续的重大影响。《原本》的历史意义在于它是一部用公理方法建立起来的逻辑演绎的第一个典范,之前所累积的数学知识是片段零碎的,好比砖瓦和木石,欧几里得借助逻辑方法,把这些知识整理组合起来,使之处于一个严密的系统之中,建成了一座巍峨的大厦。可以这么说,欧几里得是数学领域最杰出的建筑师。
从泰勒斯到欧几里得,希腊数学经历了三个世纪的发展历史。从爱奥尼亚学派开启几何论证到毕达哥拉斯学派从具体的事物中提炼出抽象的数,为《原本》的诞生提供了材料和基石。波希战争以后,雅典成为文化中心,那里的智人学派提出几何作图的三大问题、用直尺和圆规的规则,成为欧氏几何的金科玉律。安蒂丰的“穷竭法”,尝试解决“化圆为方”问题,孕育了近代极限论思想。而德谟克利特用原子法推导出:锥体体积是同底等高柱体的三分之一,则成为《原本》重要的计算方法。
值得一提的是,在欧几里得之前约一个世纪,希波克拉底(hippocrates of chios,活动时期约前460)就曾写过一部几何原理的著作,它可能是《原本》的雏形,可惜没有流传下来。这个希波克拉底比同名的“医学之父”略早,出生在小亚细亚海岸的希俄斯岛,该岛位于萨摩斯岛的西北。传说他是个商人,因为货物被海盗抢劫,到雅典去控告,没能收回自己的财物。结果他留在雅典,听数学演讲,最后竟然能依靠教授几何为生。而亚里士多德有不同的说法,认为他是被拜占庭的税务官给骗了。希波克拉底发现并利用泰勒斯定理和毕达哥拉斯定理证明了“月牙定理”:半圆上的直角三角形,两条直角边形成的弓形(lune ac和lune cb)的面积之和等于三角形面积。⑤
月牙定理的证明
对《原本》影响最大的,要数柏拉图学派。柏拉图非常重视数学,特别强调终极实在的抽象本性和数学对于训练哲学思维的重要性,他的弟子欧多克索斯用公理法建立比例理论,《原本》第5卷大多取自他的工作。欧多克索斯还把安蒂丰的穷竭法加以改进,首次用于数学证明,使之成为《原本》的重要论证方法。而亚里士多德创立的形式逻辑,则为欧氏几何的严密体系创造了必要条件。值得一提的是,我国魏晋时代的数学家刘徽创立的“割圆术”也是一种穷竭法,只不过安蒂丰始于正方形,而刘徽则是从正六边形开始的。
当然,《原本》也有着时代的局限性。例如,早在公元前5世纪,意大利南部伊利亚学派的芝诺(zero of elea,约前490-约前425,伯利克里是他的学生)便提出了多个著名的悖论,其证明用到了归谬法,迫使那时和后来的数学家、哲学家开始思考无穷问题。这一点《原本》中有所体现,但多多少少回避了。例如,第一卷公设三,明明线段可以“无限”延长,却要说线段可以“任意”延长;又如第四卷命题二十,明明是证明了“素数有无穷多”,却要写成“素数的个数比任意给定的数目都多”。
《原本》共十五卷。前六卷讲几何,接下来四卷是数论的内容,但用几何的方式叙述,最后五卷仍然讲几何。第一卷首先给出了23个定义,开头两个不同凡响:点是没有部分的(a point is that which has no part);线只有长度而没有宽度(a line is breadthless length)。之后,是有关平面、直角、垂直、锐角、钝角、平行线等的定义。定义之后是五个公设,前四个分别是:
- 从任意一点到另一点可作一直线;
- 线段可以任意延长;
- 以任意中心、任意半径可作一圆(以上是欧几里得作图法);
- 凡直角皆相等。
- 若一直线与两直线相交,所构成的同旁内角小于两直角,那么,把这两直线延长,一定在那两内角的一侧相交。
第五公设的叙述有些繁琐和费解,但却最为著名,直到两千多年以后,18世纪的苏格兰数学家普莱费尔(playfair,1748-1819)才给出今天我们熟知的简洁形式(普莱费尔公设):
- 过直线外一点,可以作且仅能作唯一的一条平行线。
公设之后是公理,也是五个,其中前两个为:
- 等于同量的量彼此相等;
- 整体大于局部。
之后各卷,再也没有公设或公理,而只有命题,每卷均有几十个。卷一有48个命题,现在看起来比较初等。比如第5命题说的正是古希腊人老生常谈的话题:等腰三角形两个底角相等,且它们的外角也相等。那时欧洲的数学水平确实也很低,第5命题居然被认为是“驴桥”,意思是“笨蛋的难关”。
卷二要深一些,其中命题5是一元二次方程的求解,基本上给出了如今中学里的公式解,其等价形式可以导出下列勾股数组:
其中n可为任意正整数。依照普罗克洛斯的说法,这一数组是毕达哥拉斯给出的。他同时指出,柏拉图给出了另一数组,即
命题13是如今中学里熟知的余弦定理
不过,欧几里得是用几何方法描述余弦定理的,并没有出现三角函数。卷七开始讲数论,开头也给出了22个定义,最后一个是完美数的定义:一个数等于它自身的部分(真因子)
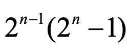
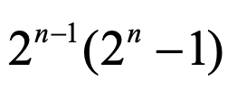
之和,这个数叫完美数。等到了卷九,命题36才证明了完美数的著名结果:若
是素数,则
是完美数。值得一提的是,这个结论的逆定理要到两千多年以后,才由瑞士数学家欧拉给出证明。于是我们有了:一个偶数是完美数当且仅当它是以下形式
这里n和
均为素数,其中
如今被称为梅森素数,以17世纪法国数学家、牧师梅森命名,迄今已发现51个梅森素数和51个偶完美数,尚没有发现一个奇完美数。是否存在无穷多个偶完美数?以及是否存在奇完美数?是数学史上最古老的问题,同时也是最难的问题之一。
早在8世纪末,《原本》就由巴格达阿拔斯王朝第五代哈里发拉希德时期的学者译成阿拉伯文,它的第一个完整的拉丁文版本大约在1120年由英国经验哲学家阿德拉德(adelard of bath, 约1116~1142)从阿拉伯文译出,第一个完整的英译本是苏格兰商人比林斯利爵士(henry billingsley, -1606)由希腊文原文在1570年译出,他做过伦敦市长。
1808年,称雄欧洲、酷爱数学的法国人拿破仑在梵蒂冈图书馆找到一些希腊文数学手稿,将它们带回到巴黎。其中就有欧几里得两种著作的手抄本,包括《原本》。几年以后,《原本》的希腊文、拉丁文和法文版在法国同时出版了,它们被称为梵蒂冈本,是公认最接近于原著的版本。
" 利玛窦与徐光启
《原本》最早的中文版是在1607年在北京出版的,由意大利传教士利玛窦(matteo ricci,1552-1610)和明代学者徐光启(1562-1633)合作翻译,卷首并排写着“泰西利玛窦口译”、“吴淞徐光启笔受”。这也是中国近代翻译西方数学典籍的开始,从此开启了中西学术交流的大门。
他们所依据的是德国人克拉维乌斯(christoph clavius,1537-1612)的拉丁文增订版,两人只译了前六卷,并起名《几何原本》。出版不久,徐光启父亲去世,他扶柩南归,丁忧三年。1610年,徐光启回京复职,利玛窦已不幸病逝。直到250年以后,才由英国传教士伟烈亚力(alexander wylie,1815-1887)和清代数学家李善兰(1811-1882)合作译完《原本》并在上海出版。
在19世纪非欧几何学诞生以前,《原本》一直是几何的推理、定理和方法的主要源泉。它也是现代科学产生的一个重要因素,其完整的演绎推理结构甚至给思想家们带来灵感。可以说,《原本》既是对现实世界的仿制,也为这类仿制提供了必要的工具。
从某种意义上讲,这类仿制就是亚里士多德在《诗学》里谈到的摹仿说。可以这么说,几乎是在同一时期,古希腊以相似的方式诞生了作为数学和艺术最高理论结晶的《原本》和《诗学》。而到了文艺复兴时期,绘画的方法和实践已离不开欧几里得几何学,其中最为突出的是透视原理和没影点。
"
" 吴文俊先生早年为《数学与艺术》一书亲笔撰写的推荐信(局部)。
附注:
①分析法是把复杂的事物或现象分解成若干简单的组成部分,分别进行研究的方法。分析法是综合法的对称,后者是把各个组成部分、各个方面和各种因素联系起来,从总体上认识和把握事物或现象的方法。
②归谬法是反证法的一种形式。用反证法证时,如果命题只出现一种情况,那只需将它驳倒就可以,这种反证法叫“归谬法”。如果有多种情况,那必需将它们一一驳倒,才能证明命题成立,这种反证法叫“穷举法”。
③倍立方体是所谓古希腊三大几何问题之一,另外两个问题是化圆为方、三等分角,都要求只用直尺和圆规作图。直到19世纪,随着伽罗华理论出现和林德曼证明是超越数以后,数学家们才弄清楚,这三个问题实际上是不可解的。
④存在一种混淆,就是比欧几里得早一个世纪的数学家兼哲学家欧克莱德斯(eucleides of megara),他是苏格拉底的学生、柏拉图《泰阿泰德篇》的对话者之一,megara(麦加拉)是雅典西边的城市。
⑤首先,由泰勒斯定理,半圆上的圆周角是直角;其次,由毕达哥拉斯定理;再由圆或半圆的面积计算公式,以ac和cb为直径的半圆面积之和等于以ab为直径的半圆面积;然后分别减去两个公共的圆弧面积之和,即证得月牙定理。
作者简介
蔡天新
浙江大学数学学院教授、博士生导师、求是特聘学者,近作有《小回忆》增订版、《我的大学》、《26城记》、《数学与艺术》、《经典数论的现代导引》(中、英文版)、《完美数与契波那契序列》(即出),主编《地铁之诗》、《高铁之诗》。
=